Transmission Lines by KQ6QV

for MATHCAD or EXCEL.

12/12/11

|<---------------------- Everything to the right of here is comments and test cases.

|

These are general purpose transmission line functions for engineers and HAMs. They are intended for zero loss, low loss, and medium loss transmission lines. Nearly all circuit problems can be solved by applying one or more of these five formulas:

|

If you find any errors or better formulas, please report them to kq6qv@aol.com. This worksheet was prepared using Mathcad 14, but saved in a format supposedly compatible with Mathcad 11. The worksheet is intended for productive usage, not teaching. It is donated to the public domain. You may distribute it and use it freely. If you try these functions, send me a note and tell me how they worked out.

|

|

|

where

L = inductance per unit length

C = capacitance per unit length

Rs = series resistance per unit length

Gp = parallel conductance per unit length

Conventions :

where :

e = permittivity

m = permeability

velocity = velocity of signal propagation

(These can be rewritten in forms that look very different but are not. They are often written with trig or exponential functions instead of hyperbolics, and they sometimes appear with tangents in place of sines and cosines. They are derived from second order differential equations, but while this is interesting, it does not help you solve any problems.)


The five equations accurately portray standing waves and exponential loss through dissipation. The only thing they do not handle is unbalanced currents and radiation. The five formulas are encoded in these five functions:

er = relative permittivity

mr = relative permeability

vf = velocity factor

e0 = permittivity of vacuum

m0 = permeability of vacuum

c = speed of light in vacuum

er is also called the dielectric constant, k.

This worksheet assumes:

LineVout -- find the output voltage, given the input voltage and current.

LineIout -- find the output current, given the input voltage and current.

LineVin -- find the input voltage, given the output voltage and current.

LineIin -- find the input current, given the output voltage and current.

LineZ -- find the input impedance, given the terminating impedance.

1. All lengths and diameters are measured in meters. (In many cases the units are irrelevant if they are consistent.) MKS is standard, but frequency is entered in MHz.

2. There is no radiation loss, no unbalanced current, no leakage through the shield.

3. The series resistance is proportional to the square root of frequency.

4. The A.C. dielectric loss is proportional to the frequency.

5. You may specify the D.C. dielectric leakage conductance. It is usually insignificant.

6. Most of the functions assume no ferromagnetic materials are present (mr = 1).

7. All voltages, currents, and impedances are complex numbers.

8. The line parameters Zo, vf, L, C, Rs, Gp, er, r, and tand should be entered as real numbers. The functions have not been thought out for complex values of these.

9. Zo and L of any transmission line will vary slightly with frequency since the skin effect causes the effective diameters of wires to change. The circuit solving functions do not automatically compensate for that. So you will want to determine Zo and L for the center of the "band" you are working in. See the functions Lcoaxial and Ltwinlead.

10. This worksheet is intended for zero loss, low loss, and medium loss transmission lines, including all the common line types. Some of the functions will not work well for very high loss lines. (If you want to model coax in which the foam is full of water, these functions are not intended for that.)

With these five functions, you can solve a transmission circuit problem like it is a black box. Then the only reason you would need an intuitive understanding of transmission lines is so that you can propose a circuit that might work.


Some problems come up: Such functions would require 10 or more parameters to be completely general, and there is more than one approach to describing a transmission line.


Typical projects employ only 1 to 3 types of transmission lines. This spreadsheet uses separate functions to define line types, giving each type a name. Those names are fed to the above five functions, reducing the parameter count to 4 or 5. The line type creation functions are:

DefineLosslessLine -- define a lossless transmission line, given only the impedance and velocity factor.

DefineLossyLine -- define a transmission line, given Zo, vf, Rs, and Gp.

DefineTwinlead -- define a twinlead transmission line. *

DefineCoax -- define a coaxial transmission line. *


* This function determines the series resistance and shunt conductance from the frequency and the other line parameters.

To reference these functions from another Mathcad document, click Insert>Reference, and browse for TransmissionLines.mcd . The EXCEL and MATHCAD versions can be downloaded from :

http://www.hdtvprimer.com/KQ6QV/HomePage.html

______________________________________________________________________________________________

Basic stuff:

meters per inch :

meters per foot :

real power :

Impedances in parallel :

Impedances in series :

Impedance of a capacitor :

C is in Farads

Zcap(6.8*pico,14) would be the impedance of a 6.8 pF capacitor at 14 MHz.

Impedance of an inductor :

L is in Henrys

Zind(2*micro,21) would be the impedance of a 2 mH inductor at 21 MHz.

Impedance of parallel resonance :

Frequency of resonance :

Fresonance is MHz

Wire diameter from gauge # :

(Normally the name of a function describes its output. AWG is the only function here for which the name describes the input.)

The argument is a gauge number. AWG returns a value in meters.

Get er or vf from the other :

air or vacuum:

American Wire Gauge table

polyethylene :

Dissipation factor: DF = tand = 1/Q

The loss tangents are from agilent.com at 3 GHz.

Gauge: Diameter in inches:

teflon :

polyvinylchloride :

quartz :

If FP is the Power Factor then

glass :

(eglass varies from 4 to 7)

rr converts micro-ohm*cm into ohm*meters.

A common published value for tandPE is 0.00031, but common cables seem to model better with a value of 0.00064.

silver :

copper :

gold :

aluminum :

iron :

tin :

lead :

60/40 PbSn solder :

Subroutines you can usually ignore:

These formulas are for the skin effect in isolated round wires. The formulas are derived at http://www.hdtvprimer.com/KQ6QV/TLderivations.html

FindRatioR finds

Also called

This ratio applies to the inductance from the field within the round wire, not outside it.

FindRatioL finds

Example :

Minor transmission line functions:

From these two formulas

Get Zo and vf from L and C :

Get L and C from Zo and vf :

if you know any two of L, C, Zo, or vf, you can find the others. These 12 functions will not work for high loss lines (unless L, C, Zo, and vf are complex numbers).

Get C and Zo from L and vf :

Get C and vf from L and Zo :

Get L and Zo from C and vf :

L, C, Rs and Gp are "per meter".

Get L and vf from C and Zo :

This formula is for an infinite plane.

r is in ohm*meters, mr is relative.

SkinDepth is meters

Skin effect depth :

Example :

Twinlead L and C :

for high frequency

Ltwin is usually accurate, but is seriously wrong at low frequency.

Use Ltwinlead when in doubt. Ltwinlead is usually within 1% for all frequencies and all spacings down to sep/dia of 1.01, assuming sep << l. See Note 3.


L and C are "per meter".

dia and sep are in meters.

MHz is the frequency. L changes very little with frequency, so just a rough estimate of the frequency is required here. The change with frequency above 1 MHz is seldom significant.

r is the wire resistivity. It seldom affects L significantly.

From atlc2:

Current distribution in close-spaced twinlead

Ltwinlead and Rtwinlead are the result of hand-fitting curves to data from atlc2. Each atlc2 run employed 13000 conductor pixels, producing 13000 equations to solve.

Example :

H

for high frequency

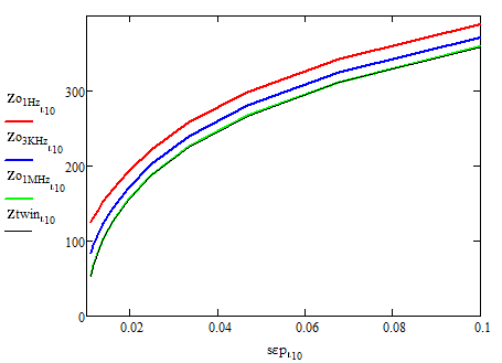
Twinlead Zo :

for high frequency

Twinlead Zo versus wire spacing. (wire diameter is 10mm)

Twinlead resistance :

Rtwinlead is usually accurate to 1% for all frequencies and all spacings down to sep/dia of 1.01. See Note 3.

Twinlead resistance (Wire diameter = 10mm) :

Example :

Note 3: Ltwinlead and Rtwinlead are accurate to better than 1% except in the transition-to-DC region. For most twinlead this is from 100 Hz to 10 KHz. In this region the formulas are in error by more than 10% at extremely close wire spacings.

Twinlead separation :

for high frequency

L is inductance per meter

TwinSep is in the same units as dia

for high frequency

TL is the name of a transmission line type. (see below)

Coax L and C :

Lcoax is accurate at high frequency, but wrong at low frequency.

Use Lcoaxial when in doubt.

diacc is the diameter of the center conductor.

th and diash are the thickness and inner diameter of the shield.

mcc, mdi, and msh are relative permeabilities.

This formula is derived at http://www.hdtvprimer.com/KQ6QV/TLderivations.html

Example :

Lcoax and Ccoax are very accurate above 1 MHz.

L and C are "per meter".

diacc and diashield units irrelevant if consistent.

for high frequency

for high frequency

Coax shield diameter :

for high frequency

L is inductance per meter

r is in ohm*meters

dia is in meters

RwireDC is ohms per meter

DC resistance of round wire :

Example :

Example :

Ohms per meter

DC resistance of coax shield :

RshieldDC is ohms per meter

diash is the inner diameter of shield

Example :

AC resistance of round wire :

RwireAC is ohms per meter

oldRwireAC is the usual formula for wire A.C. resistance, but it is poor in the common case where the skin effect depth is nearly equal to the wire radius.

RwireAC is near perfect for coax (except when the skin depth breaches the steel of a copper clad steel wire), and fair for twinlead when the wires are far apart.

AC resistance of coax shield :

RshieldAC is ohms per meter

Example :

Computes the dielectric loss at 10 MHz.

TL is the transmission line type, which is constructed but not fully complete. (Define the transmission line type before calling setGp.)


tandsolid and esolid are for a solid block of the dielectric material, even if the transmission line has foam. The velocity factor will be used to determine how much air is present in the dielectric, and the dielectric loss will be adjusted accordingly. This formula works for any dielectric-air mixture. (The conductance is modeled as two capacitors in series, one with a solid dielectric and one with air.) esolid is a relative value (a number close to 1).

Predict dielectric loss :

This formula is derived at http://www.hdtvprimer.com/KQ6QV/TLderivations.html

Example :

RG84 := DefineLosslessLine(75,.66)

RG845 :=setGp(tandPE,ePE,RG84)

Transmission line creation functions:

Create lossless transmission line :

Zo is the characteristic impedance.

vf is the velocity factor. See note 1.

TL0 = inductance per meter

TL1 = capacitance per meter

TL2 = series resistance per meter, DC

TL3 = series resistance per meter, 10 MHz

TL4 = shunt conductance per meter, DC

TL5 = shunt conductance per meter, 10 MHz

The 10 MHz values are equivalent to measurement values, so they include DC effects.

Characteristic impedance :

Create lossy line :

Zo is the characteristic impedance.

vf is the velocity factor. See note 1.

RsDC is the series resistance per meter at D.C.

Rs10MHz is the series resistance per meter at 10 MHz.

Gp10MHz is the parallel conductance per meter at 10 MHz.


To get lines that have no variation with frequency ("flat" lines), specify 10 MHz values that are the same as the D.C. values.

Create twinlead, given Zo :

Zo is the characteristic impedance.

vf is the velocity factor. See note 1.

r is the wire conductivity. Usually rCu is specified here.

dia is the wire diameter, in meters.

A 10 MHz resistance will be computed that is accurate when the wires are widely separated. (Hint: Atlc2 will tell you the 10 MHz resistance.)

See note 2.

Note: The solving functions assume the resistance changes with the square-root of the frequency. But for close spaced twinlead, the true power can be closer to .54 than .50. If your band is far from 10 MHz then the error can be large. You might have to adjust TL3 or r to get the correct resistance for your band. Rtwinlead will tell you what the resistance should be. The actual resistance the program will use is:

Create twinlead, given all dimensions :

vf is the velocity factor. See note 1.

r is the wire conductivity. Usually rCu is specified here.

dia is the wire diameter, in meters.

sep is the wire separation, in meters.

A 10 MHz resistance will be computed that is accurate when the wires are widely separated. (Hint: Atlc2 will tell you the 10 MHz resistance.)

See note 2.

Zo is the characteristic impedance.

vf is the velocity factor. See note 1.

rcc is the resistivity of the center conductor. Usually rCu is specified here.

diacc is the diameter of the center conductor, in meters.

rsh is the resistivity of the shield conductor. rCu and rAl are common.

thsh is the thickness of the shield conductor, in meters.

See note 2.

Create coax, given Zo :

Example :

vf is the velocity factor. See note 1.

rcc is the resistivity of the center conductor.

diacc is the diameter of the center conductor, in meters.

rsh is the resistivity of the shield conductor.

diash is the inner diameter of the shield conductor, in meters.

thsh is the thickness of the shield conductor, in meters.

See note 2.

MHz should be roughly the band where the line will be used.

Create coax, given all dimensions :

Example :

Note 1: You must provide a velocity factor. When the dielectric is uniform, you can set

Set vf = 1 when the dielectric is all air. Set vf = 0.66 when the dielectric is solid polyethylene. When the dielectric is non-uniform, an average dielectric constant is assumed from the velocity factor you provide.

Circuit solving functions:

Note 2: tandsolid and esolid are for a solid block of the dielectric material, even if the transmission line has foam. The velocity factor will be used to determine how much air is present in the dielectric, and the dielectric loss will be adjusted accordingly. This formula works for any dielectric-air mixture. esolid is a relative value (a number close to 1). (If vf=1 then the numbers you provide for tandsolid and esolid are effectively ignored.)

Transmission line

Output Voltage :

Find the output voltage, given the input voltage and current

length is in meters.

Example:

Transmission line

Output Current :

Find the output current, given the input voltage and current

The choice between "Input" and "Output" functions should be made based on which current direction convention more closely matches your analysis, not on which way the power is moving. All equations allow power to be moving in both directions and either box could be a generator.

length is in meters.

Transmission line

Input Voltage :

Find the input voltage, given the output voltage and current

length is in meters.

Transmission line

Input Current :

Find the input current, given the output voltage and current

length is in meters.

Transmission line

Input impedance :

Find the input impedance, given the terminating impedance

Example: At 200 MHz, if 5 feet of 300-ohm twinlead terminates in 75 ohms, the input impedance is :

Delay line balun :

These two formulas are derived at http://www.hdtvprimer.com/KQ6QV/TLderivations.html

Voltage reflection coefficient :

usually called r or G. InverseReflect produces the original terminating impedance.

Current reflection coefficient :

VSWR :

Phase angle of voltage V

in radians:

Also works for current. The angle is with respect to a value of 1+0i.

Power loss in transmission line

in dB, always negative :

This is the power lost in the line due to dissipation. The lost power is converted into heat. For lossless lines, this function will always give a zero result.

meters is the physical length of the transmission line

Losses greater than 100 dB will often blow up this function.

Rejection loss

in dB, always negative :

This is the power deleted from the forward signal due to a backward reflection.

Example: Suppose a receiving antenna has a gain of 12 dB and a terminal impedance of 150 ohms. If the antenna is connected to a 300-ohm transmission line, what is the net gain?

Return loss

in dB, always negative :

This is the power in the reflection, relative to the input power.

Example: If Zt is half of Zo then 11% of the signal power is reflected :

Cutoff frequency

This is the frequency where a TEM and TE11 mix begins, making the cable useless. fCOcoax is in GHz. er is for the dielectric. mr is assumed to be 1.

Example :

___________________________________________________________________________________________________

Common coaxial cables :

In the following :

FG = frequency group number.

LN = loss in dB/100ft at freq fN.

Rcc = DC resistance of center

conductor per 100ft.

Rsh = DC resistance of shield

per 100ft.

EN = model error in percent at

frequency fN.

YY is a temporary function used by the author for experimentation.

CCS = copper clad steel

CCA = copper clad aluminum

Published characteristics of common coaxial cables :

RccDC and RshieldDC are in Ohms per 100 feet.

nominal gauge: cc: shield:

FG L1 L2 L3 L4 Rcc Rsh

E1 E2 E3 E4

RG-6 solid

21 CCS

Cu braid

RG-6 foam

18 Cu

Al foil + Cu braid

RG-8 solid

13 Cu

Cu braid

RG-8 foam

10 Cu

Al foil + Cu braid

RG-8 foam

10 Cu

Al foil + Cu braid

RG-8X foam

15 Cu

Al foil + Cu braid

RG-11 solid

18 Cu

Cu braid

RG-11 foam

14 Cu

Cu braid

RG-35 solid

10 Cu

Cu braid

RG35, RG84, RG85, and RG164 are very similar.

RG-58 solid

20 Cu

Cu braid

RG-58 foam

17 Cu

Al foil + Cu braid

RG-59 solid

23 CCS

Cu braid

RG-59 foam

20 Cu

Cu braid

RG-62 spaced

22 CCS

Cu braid

RG-174 solid

26 CCS

Cu braid

RG-174 foam

25 Cu

Al foil + Cu braid

RG-213 solid

13 Cu

Cu braid

RG-218 solid

4.4 Cu

Cu braid

RG218 and RG219 are very similar.

LMR500 foam

7.1 CCA

Al foil + Cu braid

LMR600 foam

5.3 CCA

Al foil + Cu braid

For each cable type above, PEcoax determined a shield thickness that would make the shield DC resistance match the shield DC resistance given on the manufacturer's web site. The DC series resistance TL2 was set to match the sum of the shield and center conductor resistances given by the manufacturer. The center conductor conductivity rCC was computed from the gauge number and the DC resistance.


The predicted losses match the published losses better when tandPE is increased to 0.00064 and when the shield conductivity rShieldTypical is 3.8. These were determined experimentally. The justification for them is not known.


The general model does not work well with copper clad conductors. The clad function was used to reduce the DC resistance, which makes the model more accurate above 1 MHz but less so below. If you are using a clad cable below 3 MHz, you might want to reduce the CladFactor value some.

___________________________________________________________________________________________________

Other geometries :

All of the following are taken from Reference Data For Radio Engineers, Howard W. Sams & Co. 1977. All are lossless, with the series resistance and shunt conductance set to zero. Rs and Gp can be overridden with direct assignments to TL2, TL3, TL4, and TL5 after the lines have been created.

If the line fields are fully imbedded in a uniform dielectric, set vf = VFfromE(er) where er is the relative dielectric constant.

Twinlead with unequal diameters :

Twinlead near ground :

This is accurate if:

dia << sep

dia << h.

This is accurate if:

dia << sep

dia << h.

Twinlead near ground :

Attenuation Graph

You specify which coax is to be graphed by setting the AttenuationGraph variable. The red line is the loss the model predicts. The blue circles are four points taken from the manufacturer's nominal loss data.


The dotted line is the model but with its dielectric loss and DC resistance set to zero. For most cable types, the graph will show that the DC resistance dominates below 1 MHz, and the dielectric loss dominates above 1 GHz.

This is accurate if:

ShieldDia >> WireDia

sep >> WireDia.

Shielded twinlead :

This is accurate if:

ShieldDia >> WireDia

sep >> WireDia.

Parallel wires, shield return :

The twinlead must be centered in the box.


This is accurate if:

dia << sep

dia << w

dia << h

lim = infinity


See if this works: Set lim to a low value, then raise it until the result converges.

Boxed twinlead :

This is an approximate formula.

Square coaxial :

50 ohm cables

Off-center coaxial :

This is accurate if:

dia << h.

Single wire, ground return :

Double wire, ground return :

This is accurate if:

dia << sep

dia << h.

75 ohm cables

This is accurate if:

dia << D1

dia << D2

Balanced 4-wire :

error in ref book

Parallel strips :

This is a rough approximate formula, accurate if:

wid/sep > 10.

Do not use this formula when the strips are separated by a PC board.

Reference Data For Radio Engineers contains some more cases.


The following were found other places:

This is the Wheeler microstrip formula for Zo.

Microstrip :

Differential opposite :

Differential microstrip :

Differential dual trace :

Strip line :

This formula is not highly accurate.

The atlc2 program (arbitrary transmission line calculator) can be used to find the parameters for any geometry. You just draw a cross-section of the transmission line, and it will tell you the characteristic impedance, velocity factor, and series resistance. Arbitrary dielectric configurations are allowed. Atlc2 can be found at www.hdtvprimer.com/KQ6QV/HomePage.html .

Other engineering functions :

Formulas for solenoid coils

These are for single-layer copper coils in free space.

The functions support the lumped parameter model.

Lundin's formula for calculating Nagaoka's coefficient (see http://www.g3ynh.info/zdocs/magnetics/part_1.html) :

Data fixes:

Interpolation of Medhurst's proximity coefficient :

Stray capacitance

len and dia are in meters, n is the number of turns.

Ccoil is the apparent terminal capacitance for the lumped parameter model at low frequency. (See DAE formula 5.3 on

www.g3ynh.info/zdocs/magnetics/appendix/self-res.html .)

This capacitance can be very misleading. Common misconceptions:

1. This is mostly the capacitance between adjacent turns.

2. The capacitance is responsible for the coil's principal self-resonance.

In fact, the self-resonance comes from the wire of the coil acting like a transmission line, and the apparent capacitance changes substantially as the frequency approaches self-resonance.

Resistance

len, dia, and WireDia are in meters, n is the number of turns. The accuracy of the formula is better than 3%. (See the last formula on http://www.g3ynh.info/zdocs/magnetics/part_2.html)

Let

be called the Form Factor, FF.

pF

For a given L, the FF for the optimum coils:

FF < 0.5 has the highest Q

FF = 1.5 has highest self resonance

FF > 2 has the least core volume

FF > 2 is easiest to shield

FF > 2 has the highest breakdown voltage

The Wheeler and Esnault-Pelterie formulas are usually written for inches, but here they have been modified to use meters, consistent with the rest of this document.

The Nagaoka Formula:

The Wheeler Formula:

The Esnault-Pelterie Formula:

len, dia, and WireDia are in meters, n is the number of turns. This formula is accurate to better than 1% until the frequency approaches self-resonance. (See www.g3ynh.info/zdocs/magnetics/part_1.html. See Stroobandt formula at hamwaves.com/antennas/inductance.html.)

Inductance

MHz is the frequency. L changes very little with frequency, so just a rough approximation is required here.

Example: A 400 turn coil, 40" long, 20" diameter:

correct: 32758 mH

R

X

R

X

R

X

R

X

R

X

freq

for len=.02, dia=.015, n=20, WireDia=.0003, MHz=10

hamwaves.com/antennas/inductance.html says:

L=3.3741 mH

R=1.05587 W

C=.3201 pF

SRF=115.5 MHz

Q=200.79

0.025" dia

0.050" dia

0.100" dia

0.200" dia

0.400" dia

Terminal impedance symmetric straight uninsulated copper dipole 100 feet long in free space as determined by NEC-4 (83 segments)

R

X

R

X

R

X

R

X

R

X

R

X

etc.

height=5'

height=10'

height=15'

height=20'

height=25'

height=30'

etc.

Terminal impedance of horizontal symmetric straight uninsulated AWG #12 copper dipole 100 feet long at various heights as determined by NEC-4 (83 segments)

Impedance

Computing is faster if L, C, and R are determined for the center of your "band" :

Unloaded Q

Self-resonance frequency

SRFcoil is the frequency in MHz of the coil's principal self-resonance, accurate to around 10%. (If the coil wire has insulation giving the wire a velocity factor of 0.9 then the self resonance would be roughly 0.9*SRFcoil.)

The purpose of this function is to tell you if you should believe the other functions. For operating frequencies less than 40% of SRF, the functions are as accurate as stated. For 40% to 70% the functions are useful but somewhat off. Above 70% you are probably making a mistake.

Impedance of a dipole in free space

TotalLength and WireDiameter are in meters. This function is intended for use from 1 MHz to 30 MHz. The data comes from a NEC-4 simulation of a 100-foot dipole (resonant at 5 MHz). The farther you stray from that, the less accurate the result will be, but the function is thought to be very accurate for all HF dipoles. The function returns a 109 impedance if any input is outside the range that gets accurate results.

Example: An 80-Meter dipole at resonance:

Impedance of a dipole above typical ground

TotalLength and HeightAboveGround are in meters. This function is intended for use from 1 MHz to 30 MHz. The data comes from a NEC-4 simulation of a 100-foot dipole (resonant at 5 MHz) at heights between 5 and 220 feet. The dipole is AWG #12 copper, uninsulated, straight, level with the ground, and center-fed. The farther you stray from these, the less accurate the result will be, but the function is thought to be very accurate (assuming NEC-4 is accurate) for all such HF dipoles in the range l/50 < height < 1.14l. Above that, use the free space function. The function returns a 109 impedance if any input is outside the range that gets accurate results.

Example: A 40-Meter dipole at band lower edge:

This function was written on a whim. Its accuracy has not been investigated.

NEC-4 says the correct value is 122.3 + 167.1i

Functions that have been renamed

bottom